带穿层柱结构设计的若干问题探讨及建议
引言
随着建筑局部大空间使用功能需求的增加,如首层大堂、空中大堂等,由局部梁板缺失带来的穿层柱在建筑工程中的应用越来越多,穿层柱常存在于框架结构、框架-剪力墙结构、框架-核心筒结构、框架-支撑结构等多种结构形式中。
安徽五维建筑规划设计有限公司总工程师方义庆分享了对于带穿层柱结构设计的若干思考。就大家关心的问题进行了线上专访。
Q1:对于带穿层柱结构的设计,您认为在设计时应重点关注哪些方面的问题?
方义庆:首先感谢《建筑结构》提供一个与大家交流、探讨的平台。穿层柱在工程中的应用非常普遍,由于穿层柱线刚度相对小,致使局部楼层的局部位置发生刚度突变,《超限高层建筑工程抗震设防专项审查技术要点》(建质[2015]67号)将穿层柱列为局部不规则项。较多结构工程师在设计带穿层柱结构时,更多是的关注穿层柱本身,如对穿层柱构件的加强措施、计算长度系数等,实际上除了要关注穿层柱构件本身外,还应关注结构体系层面的一些问题,带穿层柱结构与常规结构在水平荷载作用下的受力特点、受力机理有所不同,穿层柱与其所在(穿越)楼层的其他结构构件是脱开的,在计算穿层柱所穿越楼层的侧向刚度比、扭转位移比、楼层受剪承载力比时,如采用了与常规结构相同的方法,可能会误判结构体系的抗震规则性。
体系层面:
1)关注穿层柱对主体结构的影响,特别是竖向规则性及水平规则性的判断是否符合实际情况,在计算穿层柱所穿越楼层的侧向刚度比、扭转位移比、楼层受剪承载力比时,如采用了与常规结构相同的计算方法,与实际情况不符,可能会误判结构体系的抗震规则性。
2)带穿层柱结构在水平荷载作用下的的传力途径与常规结构有所不同。穿层柱顶、底所在楼层的楼板是水平荷载作用下的重要传力构件。
构件层面:
1)对穿层柱应有一定的加强措施:与普通框架柱相比,穿层柱抗侧刚度相对小,弹性计算时分配剪力较少,而在地震力超越小震水准后,普通框架柱先于穿层柱进入损伤状态,随着普通框架柱刚度退化,地震剪力转移至穿层柱,因此要求穿层柱具备相当的承载力储备,以免普通框架柱受损后穿层柱随之破坏。可根据穿层柱的重要性及其在中震或大震下的受力状态进行抗震性能化设计。
2)复核穿层柱计算长度系数是否正确:穿层柱一般会被节点强制打断,而实际情况是其在某一个方向或两个方向均无侧向支撑点,需要复核计算长度是否符合实际情况。必要时可进行屈曲分析,采用欧拉公式反算柱计算长度系数,以正确确定计算长度。
Q2:与常规结构相比,带穿层柱结构在水平荷载作用下的传力途径有何不同?设计时应重点关注哪些问题?
方义庆:带穿层柱结构在水平荷载作用下的传力路径与常规结构有所不同,因穿层柱由于自身抗侧刚度较低,致使穿层柱承担的楼层剪力与其上下楼层平面同位置的框架柱相比减小,穿层柱和非穿层柱在穿层柱顶、底标高的楼盖位置均存在剪力突变。
穿层柱顶、底所在楼层的楼板是水平荷载作用下的重要传力构件,设计时,除关注对穿层柱本身加强外,还应关注穿层柱顶、底所在楼层楼板的加强,必要时对楼板应力分析,并根据应力分析结果配置钢筋。
工程案例:
以一7度区某12层带穿层柱框架结构为例,分析带穿层柱框架结构在水平荷载作用下的传力路径及穿层柱、非穿层柱在小震作用下的各楼层剪力分配情况。
▲ 整体模型示意图
(1)层剪力分配
在F4~F6层,穿层柱承担的剪力与其上下各楼层同平面位置框架柱相比减小,承担的剪力占比从20%~24%减小至5%~10%,主要因为穿层柱线刚度相对低,部分剪力转移至同层非穿层柱。“穿层柱范围”表示穿层柱平面位置对应的上下各楼层的框架柱,其余均为“非穿层柱范围”。
▲ 楼层剪力分配 ▲ 穿层柱范围层剪力占比
(2)传力路径:
水平荷载作用下,带穿层柱框架结构传力路径与普通框架结构有所不同。在穿层柱柱顶标高的楼盖(6层楼盖)位置,穿层柱之上的7层框架柱底剪力Vct7一部分直接向下传递给穿层柱Vct6,另一部分通过楼板Vct6传递给下层非穿层柱;在穿层柱柱底标高的楼盖(3层楼盖)位置,穿层柱之下的3层框架柱Vct3除承担穿层柱向下传递的剪力Vct4之外,还承担了非穿层柱通过楼板传递的一部分剪力Vf3。
(3)楼板传力:
对地震作用下穿层柱顶、底标高位置的楼板应力进行了分析,结果表明穿层柱顶(6层楼板)、底(3层楼板)楼板范围楼板应力明显大于其他位置,说明楼板起到了传递水平荷载作用,与水平荷载作用下传力路径分析结果一致。
▲ 楼板面内主拉应力/MPa
Q3:当楼层的穿层柱范围(楼板缺失范围)多大时,定义为夹层?夹层的定义不同是否影响设计结果?
方义庆:一般认为当某层梁板缺失范围大时,该层不能作为结构层,称为“夹层”,但多大的梁板缺失范围才定义为“夹层”,难以量化。现行国家规范对夹层没有明确的定义,一些地方规范做了补充规定,但量化的范围不同。上海市《建筑抗震设计规程》(DGJ08-9—2013)规定:当楼板开洞面积大于楼面面积的60%时,宜不考虑开洞楼板的水平分隔作用,按扩层补充计算。《四川省超限高层建筑抗震设计图示(川2020G145-TY)定义夹层为当楼板开洞面积大于楼面面积的50%的平面。
“夹层”定义对不同结构体系的影响有所不同,对框架结构影响相对大,对框架-剪力墙、框架-核心筒、框架-支撑结构等影响相对小。
框架结构:
《高层建筑混凝土结构技术规程》规定:“对框架结构,楼层侧向刚度采用楼层地震剪力与层间位移之比计算方法”,其结果与“夹层”定义密切相关,层的假定不同,结果相差甚远。
为了避免因“夹层”定义的不确定性而带来的框架结构楼层侧向刚度计算问题,《建筑结构》(2022第6月下)的文章《带穿层柱框架结构设计的若干问题探讨及建议》提出一种计算穿层柱高度范围内的侧向等效刚度Kep的方法,该算法计算结果与层假定无关,可避免因层假定不同带来的误差,解决了因夹层难以量化定义而带来的层刚度比计算问题。
式中m为穿层柱穿越的楼层数;为穿层柱范围的刚度贡献,
为非穿层柱范围的刚度贡献。
当梁板缺失范围大时,等效刚度Kep趋向于,即按扩层计算;当仅有个别穿层柱时,等效刚度Kep趋向于
,即为这m个楼层侧向刚度的加权平均值。
工程案例:
以前面的12层带穿层柱框架结构为例。其中1~3层、6~12层为完整楼层,4、5层平面存在由梁板缺失而带来的穿层柱。MOD-00模型梁板缺失范围为0%,即无穿层柱,MOD-25模型梁板缺失范围为25%;MOD-50模型梁板缺失范围为50%;MOD-75模型梁板缺失范围为75%。MOD-100模型梁板缺失范围为100%。
为考察等效刚度算法能否避免因层假定不同带来的误差,能否解决因夹层难以量化定义而带来层刚度比计算问题,分别采用了三种不同算法对不同梁板缺失范围的刚度比进行计算,1)算法一为不扩层算法,即夹层作为计算层;2)算法二为扩层算法,夹层不作为计算层;3)算法三为《带穿层柱框架结构设计的若干问题探讨及建议》推荐的等效刚度算法。
K'7表示普通框架层F7层的侧向刚度,K'6表示F6层的侧向刚度,K'456为扩层后计算得到的楼层侧向刚度,Kep为穿层柱高度范围等效侧向刚度。
结果表明:1)扩层算法与不扩层算法结果相差很大,扩层结果约为不扩层结果的3倍,说明层的定义对结果有很大影响;2)当4、5层无梁板缺失时,即普通框架结构时,等效刚度算法与不扩层结果一致,说明等效刚度算法适用于梁板缺失范围小时情况;3)当楼板缺失大时,等效刚度算法与扩层结果一致,说明等效刚度算法也适用于梁板缺失范围大时情况;4)等效刚度算法计算结果与层假定无关,可以避免因层假定不同带来的误差,解决了因夹层难以量化定义而带来的问题。
框架-剪力墙、框架-核心筒、框架-支撑结构:
《高混规》及《高钢规》规定:“对框架-剪力墙、框架-核心筒结构、框架-支撑结构等,楼层侧向刚度采用采用楼层地震剪力与层间位移角之比计算方法”,因考虑了层高的修正,“夹层”定义对楼层侧向刚度比计算结果影响相对小。
工程案例1——框架-核心筒结构:
以之前参与负责的一个框架-核心筒-伸臂桁架结构为例(华东总院项目),该塔楼高度为300m,在底部F2层、F3层有大范围的梁板缺失,底部大堂穿层柱高度为17.5m。为考察F2、F3层部分外框梁及楼板缺失对结构侧向刚度的影响,对比了两组模型。MOD-A为不扩层模型,即按照实际情况考虑F2层(6.000m标高)和F3层(12.000m标高)的外框梁及楼板缺失;MOD-B为扩层模型,将F1、F2、F3合并一层,F2及F3作为夹层处理。
分析结果表明:因考虑了层高的修正,扩层模型MOD-B在底部穿层柱楼层仍然不是刚度薄弱层。“夹层”定义对框架-核心筒结构侧向刚度比计算结果影响相对小。设计时根据大震弹塑性分析结果对底部核心筒进行了加强。
工程案例2——钢框架-支撑结构:
以之前参与负责的一个钢框架-支撑筒结构为例(华东总院项目),该塔楼高度为224m,位于8度区,底部大堂穿层柱高度为18m。为考察F2、F3层部分外框梁及楼板缺失对结构侧向刚度的影响,对比了两组模型,MOD-A为不扩层模型,即按照实际情况考虑F2层(7.000m标高)和F3层(12.500m标高)的外框梁及楼板缺失;MOD-B为扩层模型,将F1、F2、F3合并一层,F2及F3作为夹层处理。
分析结果表明:因考虑了层高的修正,扩层模型MOD-B在底部穿层柱楼层仍然不是刚度薄弱层。“夹层”定义对框架-支撑结构侧向刚度比计算结果影响相对小。设计时根据大震弹塑性分析结果对底部支撑筒进行了加强。
首层大堂位置18m高穿层柱
Q4:对于带穿层柱结构,计算楼层侧向刚度比时,应注意哪些问题?
方义庆:现行规范没有对带穿层柱结构的楼层侧向刚度比算法的特殊规定,目前大多具有层概念的计算设计软件在计算穿层柱所穿越楼层的侧向刚度时,采用了与常规结构相同的算法,此算法计算结果与实际楼层侧向刚度存在差异,因穿层柱与其所穿越楼层的其他结构构件是完全脱开的,只能为穿层柱顶端所在楼层提供侧向刚度,不能为穿层柱所穿越的楼层提供侧向刚度。
建议将楼板范围定义为一个结构层,穿层柱所穿越楼层的中间节点对应的剪力和位移均不计入该层,穿层柱的影响计入穿层柱顶端所在楼层,以真实反映穿层柱所穿越楼层的侧向刚度。《建筑结构》(2022第6月下)的文章《带穿层柱框架结构设计的若干问题探讨及建议》给出了具体计算方法()。对于穿层柱所穿越的楼层,
为在外侧力作用下本层相对于下一层的层间位移(不含穿层柱位置的节点位移),
为非穿层柱抗侧力构件承担剪力之和。
工程案例
以前面的12层带穿层柱框架结构为例。将常规算法( )和《建筑结构》(2022第6月下)文章《带穿层柱框架结构设计的若干问题探讨及建议》推荐算法(
)进行了对比。
对比结果表明:1)当穿层柱数量较少时,K与K'基本接近;2)随着穿层柱占比增加,K'/K逐渐减小,说明当穿层柱数量多时,采用算法()计算得到的楼层侧向刚度判断软弱层,可能将刚度软弱层误判为非软弱层。3)随着穿层柱数量增加,穿层柱所在楼层的楼层侧向刚度逐渐降低。
▲ 两种计算方法所得穿层柱所在楼层的侧向刚度比
▲ 不同穿层柱范围刚度比对比
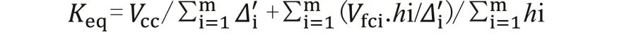
Q5:对于带穿层柱结构,计算楼层承载力比时,应注意哪些问题?
方义庆:楼层受剪承载力是指该层全部柱、剪力墙、支撑的抗剪承载力之和。楼层受剪承载力按照《建筑抗震鉴定标准》(GB 50023)附录C进行计算。
目前层概念软件在计算穿层柱所穿越楼层的受剪承载力时,采用了与常规结构楼层相同的算法,将穿层柱抗剪承载力计入了穿层柱穿越的各楼层,与穿层柱实际工作情况不符。
建议在计算楼层受剪承载力时,对于层的定义同前面讲的计算楼层侧向刚度时层的定义,即穿层柱只能计入穿层柱柱顶所在楼层,不计入穿层柱所穿越的楼层。《建筑结构》(2022第6月下)的文章《带穿层柱框架结构设计的若干问题探讨及建议》给出了具体计算方法。
工程案例:
以前面的12层带穿层柱框架结构为例。将大多层概念软件默认计算方法(算法一)和《建筑结构》(2022第6月下)文章《带穿层柱框架结构设计的若干问题探讨及建议》推荐算法(算法二)进行了对比。
对比结果表明:1)算法一得到的穿层柱所在楼层受剪承载力大于算法二得到的结果,主要因为算法一统计时考虑穿层柱的影响;2)随着穿层柱数量增加,算法一与算法二的结果差异增加;3)算法一(层概念软件默认计算方法)会误判承载力薄弱层,如MOD-50、MOD-75模型,算法一判定6层为薄弱层,4、5层为非薄弱层,与实际不符合;算法二(文章《带穿层柱框架结构设计的若干问题探讨及建议》推荐算法)判定4、5、6层均为薄弱层,与实际一致。
▲ 楼层受剪承载力及其比值
Q6:对于带穿层柱结构,计算扭转位移比时,应注意哪些问题?
方义庆:扭转位移比是现行规范用于判断结构扭转不规则的重要指标,四个关键因素是否正确,直接影响扭转位移比计算结果的正确性:①隔板假定,②偶然偏心偏移值,③最大、最小位移点位置选取,④规定水平力。带穿层柱结构存在局部梁板缺失,甚至有些缺失范围很大(如局部夹层),在计算此类结构的扭转位移比时,对于上述四个关键因素的考虑与常规结构应有所不同。
1)隔板范围定义:对于穿层柱所穿越的楼层的隔板定义,应考虑楼盖的实际刚度,将楼板范围定义为隔板,并将穿层柱中间节点与隔板脱开。上海市《建筑抗震设计规程》(DGJ 08-9—2013)也有明确的规定:含跃层柱、空梁的楼层,跃层柱的节点位移不应计入本层位移比。
对于穿层柱所在楼层的隔板定义,应考虑楼盖的实际刚度,将楼板范围定义为隔板,并将穿层柱中间节点与隔板脱开,应采用图(a)阴影所示隔板,不应采用图(b)阴影所示隔板。
▲ 隔板范围定义
2)偶然偏心偏移值ei:针对带穿层柱结构,偏移值ei根据前面定义的隔板来确定,即去除穿层柱范围。
3)最大、最小位移点位置选取:采用前面所讲的隔板范围内的两端抗侧力构件弹性水平位移(或层间位移)的最大值与最小值
。穿层柱穿越楼层的节点位移不应计入该层位移比。
4)规定水平力:计算扭转位移比时,楼层的位移不采用各振型位移的CQC法组合计算,可避免有时CQC法计算的最大位移出现在楼盖边缘的中部而不在角部,而且对于无限刚楼盖、分块无限刚楼盖和弹性楼盖均可采用相同的计算方法处理,该水平力一般采用振型组合后的楼层地震剪力换算的水平作用力。
对于常规结构,每一个楼面处的规定水平力可取该楼面上、下两个楼层的地震剪力差的绝对值。
对于带穿层柱的结构,可按照穿层柱总剪力与非穿层柱(其他抗侧力构件)总剪力大小比例,对整层的规定水平力进行分配,得到加载在穿层柱所穿越楼层的隔板上的规定水平力。计算公式如下:
式中:Fci为加载在隔板范围的规定水平力;Fi为整层的规定水平力,其计算方法同常规框架结构。
工程案例1:
以前面的12层带穿层柱框架结构为例。将大多层概念软件默认计算方法(算法一)、《建筑结构》(2022第6月下)文章《带穿层柱框架结构设计的若干问题探讨及建议》推荐算法(算法二)、魏琏总文章《扭转不规则建筑竖向构件考虑扭矩影响的抗震验算方法》(算法三)进行了对比。
对比结果表明:1)对于楼盖完整的楼层,三种算法结果一致;2)对于F4、F5层扭转位移比,算法一与算法二、算法三存在差异,算法二与算法三结果一致,算法二将穿层柱与楼盖脱开,符合实际情况;3)算法二与算法三各楼层结果的一致性,也证明了算法二的正确性。
▲ 扭转位移比
工程案例2
以之前参与负责的一个钢框架-屈曲约束支撑结构为例(华东总院项目),上海张江科学会堂主体结构采用钢框架-屈曲约束支撑结构体系,并同时采用黏滞阻尼器减震系统,该项目在首层入口大堂位置有较大范围穿层柱,穿层柱高度为17m。
规定水平力算法难以考虑黏滞阻尼器的影响,这个项目除计算规定水平力作用下的扭转位移比,还补充了基于弹性时程分析的扭转位移比计算,以考虑黏滞阻尼器的影响。
▲ 建筑效果图
▲ 结构整体模型
▲ 入口大堂17m高穿层柱
在计算扭转位移比时,隔板的假定、偶然偏心偏移值ei、最大(最小)位移点位置选取均考虑楼盖的实际刚度,并将穿层柱中间节点与隔板脱开。
表示隔板范围内的两端抗侧力构件弹性水平位移(或层间位移)的最大位移值时程曲线;
表示隔板范围内的两端抗侧力构件弹性水平位移(或层间位移)的平均位移值时程曲线。再根据《抗震规范》3.4.2条条文说明,可计算得到该层楼盖的扭转位移比,时程分析结果略小于规定水平力结果。
▲ 楼盖水平位移时程曲线
▲ 基于弹性时程分析的扭转位移比
关于带穿层柱结构在水平荷载作用下的传力路径分析及楼层侧向刚度比、楼层承载力比、扭转位移比计算方法及计算案例,可参考《建筑结构》(2022第6月下)的文章《带穿层柱框架结构设计的若干问题探讨及建议》。
参 考 文 献
[1]华东建筑设计研究总院. 上海黄浦区小东门街道616、735街坊地块项目超限高层建筑抗震设计专项审查报告 [R].上海:华东建筑设计研究总院,2016.
[2]陈建兴,方义庆,包联进,姜文伟.北京泰康大厦钢结构设计[J].建筑钢结构进展.2017,19(05):15-21.
[3]方义庆,包联进,陈建兴.上海张江科学会堂结构选型及设计[J].建筑结构,2021,51(14):20-25.
[4]魏琏,王森.扭转不规则建筑竖向构件考虑扭矩影响的抗震验算方法[J].建筑结构,2006,36(7):8-10,20.
作者简介
方义庆,正高级工程师,英国注册结构工程师,国家一级注册结构工程师,现任安徽五维建筑规划设计有限公司董事、总工程师,《建筑结构》审稿专家。负责设计完成了国家会展中心(上海)、上海张江科学会堂、北京泰康大厦、上海绿地外滩中心、上海大悦城、合肥恒大中心等复杂超高层、大跨度结构项目,多次获全国、省设计奖项;参与10多项课题研究;参编标准2部;获授权专利1项;在《建筑结构学报》、《建筑结构》等核心期刊发表文章近20篇。

QQ好友
新浪微博
微信扫一扫