260121 SAUSG非线性 SAUSG 层间位移角是如何统计的?
SAUSG非线性 SAUSG 层间位移角是如何统计的?
01前言
层间位移角是建筑结构抗震设计的核心控制指标之一,直接决定抗侧力构件和结构变形控制水平。《建筑抗震设计规范》GB 50011-2010(2016 版)明确要求,结构设计需通过精准计算层间位移角,控制结构变形在规范限值内。
层间位移角关联非结构构件(填充墙、设备管线、幕墙)的完整性以及结构的抗倒塌能力。弹性位移角超限会造成正常使用阶段的功能损坏,弹塑性位移角超过限值则可能引发罕遇地震下的结构倒塌。
本文围绕 SAUSG 软件层间位移角统计方法展开,核心内容包括:(1)层间位移角统计原理;(2)层间位移角统计案例(3)注意事项。
02统计原理
软件提供了层间位移角的最大值和平均值,层间位移角的定义公式为 θ=Δu/h,扩展到时程分析中,逐时刻第 i 层的层间位移角时程曲线计算公式如下:
Δui(t) 为t时刻第 i 层所有竖向构件(柱、剪力墙、斜撑等)上下端水平位移差的最大值;竖向构件上下端水平位移差 = 构件上端水平位移 - 下端水平位移;
hi为第i层的结构层高。
下面按柱、剪力墙和斜撑分别详细推导,过程如下:
2.1 柱子
某结构第i层一共有ni个柱子,分别为Si1、Si2、Si3、······、Sij、······、Sn、。柱子上端点为p1,下端点为p2,第j柱上端点水平位移为Dp1ij、竖向标高为Zp1ij,下端点水平位移为Dp2ij、竖向标高为Zp2ij,则第i层的第j个柱子上下端点的位移角按如下方式进行计算:
✅ 首先,计算单根构件的水平位移差ΔuSij:
✅ 其次,计算构件竖向标高差Δzij:
✅ 第三,单构件位移角θi,j:
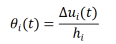
则第i层在t时刻的层间位移角最大值θimax和平均值θiave分别为:
结构第i层位移角最大值θi,max和平均值θi,ave为:
θi,ave先计算每个时刻的楼层平均位移角,再取所有时刻的最大值;
t取值范围:0≤t≤T。
θi,max和θi,ave对应下如图 1中的最大值和平均值。
图 1 层间位移角
2.2 剪力墙
剪力墙的构件位移角是根据边缘构件进行统计的,如果剪力墙两端均未设置边缘构件或者端柱,则该剪力墙将不纳入层间位移角统计。需注意的是,SAUSG软件中,对于外包钢板剪力墙和钢板剪力墙,由于软件暂时无法生成边缘构件,需要用户手动在墙两端建立一维竖向构件(例如柱子)才能对外包钢板剪力墙和钢板剪力墙进行位移角统计。
剪力墙的构件位移角统计过程和柱子类似,通过边缘构件上下端水平位移差和竖向构件标高差求得构件位移角,具体参考柱子的构件位移角求法。
2.3 斜撑
斜撑的构件位移角求法和柱子类似,通过斜撑上下端水平位移差和竖向标高差求得构件位移角,需注意的是,斜撑的构件位移角θ=Δu/h中h是指构件上下两端点Z 坐标差值之差,而不是斜撑自身长度,具体参考柱子的构件位移角求法。
软件默认不统计斜撑的构件位移角,如果想要统计斜撑的构件位移角,可以通过软件顶部菜单栏 → 选项 → 系统参数来设置。如下图:
图 2 系统参数设置
03层间位移角统计案例
在SAUSG软件中,想要将相应的构件位移角统计到目标楼层中(即统计层间位移角),构件的层号和构件上下两端节点层号要设置正确。下面按常规楼层和特殊楼层分别进行介绍层间位移角统计条件。
3.1 常规楼层的层间位移角统计
下面以一个4层的单跨框架进行详细介绍。
图 3 4层单跨框架结构示意图
如图3所示,如果想将红色框中的两根柱子构件位移角统计到目标楼层(例如,统计到第3层层间位移角),需同时满足以下3个条件:
✅ 1) 该柱子的层号必须为3层,如图4所示;
✅ 2) 该柱子上顶点层号要和柱子层号保持一致,且下底点层号不能大于上顶点层号,如图5所示;
✅ 3) 该柱上顶点和下底点必须同为跨层点(跨层点指同时归属两个相邻楼层的节点),缺一不可。如图6所示。
图 4 柱子属性示意图
图 5 柱子上顶点属性
图 6 柱子下底点属性
若以上任一条件不满足,构件位移角将无法计入目标楼层,可能导致统计结果缺失或错位。
3.2 特殊楼层的层间位移角统计
对存在穿层柱的楼层,在统计层间位移角时,需注意“穿层柱需按其受力归属楼层设置层号,确保两端节点跨层属性正确。具体处理可按以下处理(是否将穿层柱打断),如图7所示。
图 7 穿层柱
将图7中箭头所指的穿层柱,在楼层处将穿层柱打断,穿层柱子的层号和节点层号,如图8所示:
(1)穿层柱打断处理
图 8 穿层柱层号和节点号示意图(打断)
穿层柱子打断后,穿层柱上部柱子的构件位移角将统计到第3层,下部柱子的构件位移角将统计到第2层。
如果想要统计整个穿层柱的构件位移角(不是按分段方式),并将其统计到第3层,需对穿层柱进行构件层号和节点层号修改,具体如下图:
图 9 穿层柱层号和节点号修改示意图
①构件层号统一设为3层;
②上顶点层号=3层、下底点层号=1层,均设为跨层点
③断点(若有)层号与构件层号一致,且非跨层点。
(2)穿层柱不打断处理
图 10 穿层柱层号和节点号示意图(不打断)
如果对穿层柱不进行打断,则其构件位移角和构件剪力将统计到第3层。
04注意事项
异常排查流程:若统计结果异常,优先按以下步骤排查:
①核查构件层号是否正确;
②构件上下两端的节点层号是否正确、是否是跨层点;
③检查构件分段后断点层号设置是否正确;
④涉及斜撑时,核查是否勾选统计斜撑位移角;
⑤剪力墙统计异常时,检查是否按要求设置边缘构件或端部一维竖向构件。
具体参考3.1和3.2。
05结束语
本文详细介绍了层间位移角统计的原则及注意事项。相信本文能帮助用户更好地理解 SAUSG 软件层间位移角的统计逻辑,熟练运用软件完成相关的项目工程。同时欢迎工程师结合工程实践提出优化建议。
供稿丨辛业文 审稿丨张欣
编辑丨代新雨 责编丨刘宏琛

QQ好友
新浪微博
微信扫一扫