第 1 章 全面支持新钢标
一 SATWE&PMSAP计算全面支持《钢结构设计标准》GB50017-2017
在SATWE&PMSAP参数设置->设计信息中均增加了钢结构设计执行规范选项,设计时只要选择设计规范为GB50017-2017,程序对于模型中的钢构件设计验算均执行新钢标的要求。
图 1-1 SATWE参数设置选项
图 1-2 PMSAP参数设置选项
在进行构件验算时,做了如下修改。
1 受弯构件强度验算修改
塑性发展系数按照新《钢标》进行修改:
图 1-3 新《钢标》6.1.1
如果用户指定的宽厚比等级为S5级,且截面类型为工字型或箱型,Wnx取有效截面的净截面模量;否则,取全截面的净截面模量。
2 受弯构件稳定验算修改
2.1 根据新《钢标》确定梁不验算稳定条件:
(a) 梁上有板 (与03规范相同);
(b) 箱型截面符合新《钢标》6.2.4 条 ;
图 1-4 新《钢标》6.2.4
2.2 增加梁下翼缘稳定验算
支座负弯矩处约束上翼缘的梁下翼缘稳定
图 1-5 新《钢标》6.2.7
不满足以上条件时:1、设置下翼缘隅撑;2、设置横向加劲肋
3 轴心受力构件强度计算修改
根据新《钢标》,轴心受压构件只验算“毛截面屈服”,轴心受拉构件需验算“净截面断裂”和“毛截面屈服”两个公式:
图 1-6 新《钢标》7.1.1
当轴心构件宽厚比,超过新《钢标》7.3.1条限值时,可考虑屈曲后强度计算,应按有效截面计算强度和稳定,有效截面分板块来计算。
图 1-7 新《钢标》7.3.3
4 轴心受力构件稳定计算修改
(1)增加扭转屈曲的验算(对闭口截面可不算)
图 1-8 新《钢标》7.2.2
(2)增加不等边角钢的换算长细比
(3)增加梭型圆管截面
5 拉弯,压弯构件强度计算修改
强度计算:
除圆管外:
图 1-9 新《钢标》8.1.1
圆管:
图 1-10 新《钢标》8.1.1
截面塑性发展系数修改如下:
图 1-11 新《钢标》8.1.1
6 拉弯,压弯构件稳定计算修改
拉弯,压弯构件稳定计算主要修改了等效弯矩系数βmx和βtx修改依据新《钢标》第8章内容。
7 压弯构件屈曲后强度计算
实腹压弯构件要求不出现局部失稳者,其腹板高厚比、翼缘宽厚比应符合新《钢标》表3.5.1 规定的压弯构件 S4 级截面要求。 当超过S4级宽厚比要求时候,软件按新《钢标》8.4节内容计算有效截面,替代实际截面计算杆件承载力。
二 SATWE&PMSAP支持钢结构直接分析设计方法
根据GB50017-2017第5章规定,直接分析可以分为考虑材料进入塑性的弹塑性直接分析和不考虑材料进入塑性的弹性直接分析。
弹性直接分析除不考虑材料非线性的因素外,需要考虑几何非线性(P-效应和P-
效应)、结构整体缺陷、构件缺陷(包括残余应力等)。
采用弹性直接分析的结构,不再需要按计算长度法进行构件受压稳定承载力验算
理论上,几何非线性分析需要先对荷载进行组合再进行迭代计算。PMSAP中考虑P-效应采用的是无需迭代的直接几何刚度法,SATWE中考虑P-
效应采用的是无需迭代的直接几何刚度法或内力放大法,这种做法的好处是很容易与结构动力反应分析结合,对一般建筑结构来讲可以不进行迭代计算。
整体缺陷采用GB50017-2017第5章规定的等效假想荷载法。
在荷载效应组合后的构件内力上考虑P-效应和局部缺陷。局部缺陷可采用GB50017-2017第5章规定的最大值。
1 参数设置
1.1 SATWE参数设置
SATWE在设计信息中增加新的“弹性直接分析设计方法”选项。
图 1-12 直接分析法参数定义
当选择新的“弹性直接分析设计方法”选项时,二阶效应计算方法可以选择“直接几何刚度法”或“内力放大法”,默认可以放在“直接几何刚度法”,默认柱的计算长度系数置1,默认考虑结构缺陷。
同选择“二阶弹性设计方法”一样,选择“弹性直接分析设计法”后,默认一定要考虑结构整体初始缺陷,程序自动增加整体缺陷荷载工况1和整体缺陷工况2。整体缺陷荷载属性归入永久荷载中,各种组合情况下的分项系数均取1.0,重力荷载代表值和质量源系数取0。
图 1-13 工况信息
同选择“二阶弹性设计方法”一样,选择“弹性直接分析设计法”后荷载组合表中体现出整体缺陷工况,但整体缺陷工况和其他工况的组合原则不同。下图中的“加减”符号表示整体缺陷工况的荷载效应总是在其他工况组合得到效应的基础上进一步放大效应的绝对值。
图 1-14 工况组合
1.2 PMSAP参数设置
PMSAP在总信息中有“结构缺陷参数”选项。
图 1-15 PMSAP参数定义
在勾选“结构缺陷参数”时,必须同时考虑P-效应,长度系数置1.0两个选项。
2 分析计算
当选择“弹性直接分析设计法”时,分析部分增加两个整体缺陷工况的计算。
3 构件设计
选择“弹性直接分析设计法”时,在组合后的截面内力上考虑P-效应和构件缺陷的影响对组合内力进行修正。
选择“弹性直接分析设计法”时在验算阶段不再进行考虑计算长度系数的柱、支撑的受压稳定承载力验算,但构造要求的验算和控制仍然进行。钢梁、钢柱除了按新钢标5.5.7-1公式进行无侧向失稳的强度验算外,如果没有限制平面外失稳的措施,仍然需要进行考虑可能侧向失稳的应力验算(5.5.7-2)。是否有限制平面外失稳的措施,按下述参数控制,由用户确定。
如果模型中存在混凝土构件,截面内力不修正,构件设计仍然执行现行规范混凝土构件设计的要求。
无侧向失稳时按下式进行:
图 1-16 新《钢标》5.5.7
可能侧向失稳时按下式进行:
图 1-17 新《钢标》5.5.7
图 1-18 新《钢标》5.5.7
4 不适用于直接分析设计法的情况
如果结构中存在冷弯薄壁型钢构件或者格构柱,即使选择了直接分析设计法,对这两类构件并不会对设计内力进行考虑构件缺陷和P-效应的放大,也不会按照GB50017-2017第五章的公式验算,仍然按照考虑受压稳定系数的公式验算承载力。
三 新增钢结构抗震性能化设计功能
GB50017-2017关于钢结构抗震性能化设计的规定其基本思路与GB50011-2010相同, GB50017-2017规定了具体的实现方法。GB50011-2010中关于钢结构抗震设计的具体规定也可以看做是性能化设计的一种选择。对于某个构件,如满足了GB50017-2017的性能化设计要求,即可不必满足GB50011-2010的构造要求和规定。
GB50017-2017实施后,对一个单体钢结构建筑进行抗震设计,即可以全部构件遵循GB50011-2010的规定,也可以选择全部构件按GB50017-2017的第17章的方法,也可以选择部分构件按照GB50011-2010的规定(抗规的规定本身也就是一种性能等级),部分构件按GB50017-2017的第17章验算。
按GB50017-2017设计时,首先应确定总体的抗震思路,即高延性低承载力或低延性高承载力。例如,高烈度区的多高层框架结构可选择高延性-低承载力思路,低烈度区的多层框架或单层工业厂房,可以选择低延性-高承载力思路。
软件实施上继承多模型包络方式进行性能设计的框架。
1 总体参数设置
V42版本增加了规范选择参数《钢结构设计标准》GB50017-2017,保留《钢结构设计规范》GB50017-2003。只有选择2017版本时才可以执行GB50017-2017的抗震性能设计方法。
图 1-19 新增新钢标规范选择
通过下图中的参数控制性能设计的总体思路,是采用高延性低承载力思路还是低延性高承载力思路。
图 1-20 新钢标性能设计参数
2 塑性耗能区构件的自动判断和交互修改
将钢结构的全部构件分为塑性耗能构件和弹性构件两部分。
对于钢框架结构,程序自动将框架梁判断为塑性耗能区构件。对于钢框架支撑结构,程序自动将支撑判断为塑性耗能区构件,框架梁则不判断为塑性耗能区构件。设计人员须根据工程实际情况和构件受力状态确认每个构件是否是塑性耗能区构件。
图 1-21 塑性耗能构件定义
3 性能等级表和交互指定
确定了总体性能设计思路后,有可能需要调整部分楼层、部分构件的宽厚比等级、承载性能等级,非塑性耗能区内力调整系数等。因此提供层塔方式和构件级的交互指定。
图 1-22 性能等级定义
图 1-23 新增列表属性定义
现行抗规关于钢结构抗震设计的规定本身也可以理解为一种性能等级。实际应用中可以主要按照抗震规范设计,将部分楼层部分构件采用GB50017-2017规定的其他的性能等级,如下图所示。
图 1-24 性能指标定义
软件也允许用户逐个构件指定性能目标。
图 1-25 构件性能目标定义
4 生成多模型
GB50017-2017第17.1.4条规定钢结构抗震性能化设计时首先需要满足多遇地震下的承载力要求,同时需要进行设防烈度下的承载力抗震验算,并且不同的地震作用水准下可以采用不同的等效弹性模型,因此SATWE建立了多模型计算机制。
当选择进行钢结构性能设计时,自动生成下图所示的一个多遇地震计算模型和一个设防地震计算模型。
图 1-26 生成多模型
中震模型只保留重力荷载代表值和地震作用的组合,分项系数都取1.0。抗震等级修改为不考虑。
图 1-27 中震模型荷载组合
5 构件设计验算原则
构件设计验算主要三个方面内容:承载力验算、机构控制验算、构造措施验算。
对于小震模型,所有构件按抗规进行承载力验算、新钢标(不包括17章)的构造措施验算,对于指定了性能等级1-7的构件,不进行抗规构造控制验算;对于指定仍然按抗规设计的构件,进行抗规的强柱弱梁验算和构造控制验算。
对于中震模型,对指定了性能等级1-7的构件,按新钢标进行承载力验算、机构控制验算(强柱弱梁)和新钢标17章验算宽厚比和长细比等。若是指定为按抗规设计的构件则不必验算。
对于塑性耗能区构件,中震模型计算构件的实际性能系数。
6 结果展示
主模型配筋验算简图中显示小震和中震承载力验算的包络结果。
图 1-28 包络结果显示
对于塑性耗能区构件,单独显示实际性能系数及其限值。如果实际性能系数不满足要求则显示红色提示超限。
图 1-29 性能系数显示
塑性耗能区梁的构件信息给出了包络的承载力验算结果以及性能设计的构造要求验算结果。
图 1-30 构件信息显示
四 STS软件改进说明
1 钢结构二维计算全面支持新钢标GB50017-2017
STS二维计算全面支持钢结构设计标准GB50017-2017,勾选下图所示的“执行《钢结构设计标准》 (GB50017-2017)”,程序对于钢结构的设计及构件验算均按照新钢标的要求执行。对于在过渡期间如果仍然使用旧规范GB50017-2003设计的工程,程序保留旧规范的选择。当不勾选上述按钮时程序会自动执行旧规范。
图 1-31 新钢标参数定义
2 阶型柱计算长度系数按照新钢标自动确定
如果选择执行新钢标,对于模型中布置有吊车荷载的情况下,程序会自动确定柱定约束条件,区分铰接、刚接以及实腹刚接梁排架,如下图所示:
图 1-32 参数定义
3 按照新钢标增加了板件宽厚比等级的选择
程序按照新钢标表3.5.1的要求,提供截面板件宽厚比等级的选择,允许设计师在设计时指定全楼梁柱构件的宽厚比等级,如下图所示,对于构件的宽厚比限值按照其等级控制。
图 1-33 构件宽厚比定义
目前程序默认的板件宽厚比等级为S3,如果要单独修改,可以在“构件信息”的“宽厚比等级”下修改构件的宽厚比等级。如下图所示。
图 1-34 构件修改宽厚比等级
如箱型截面梁抗震等级一级,宽厚比等级S1级,计算结果查询梁翼缘宽厚比如下图,壁板间翼缘部分:抗规一级,限值30;钢规S1级,限值25,两者输出均正确。程序对于存在抗震等级的情况下,输出抗规与钢标的宽厚比、高厚比限值,并进行从严控制。
图 1-35 箱型梁宽厚比等级输出
如工字形截面梁,抗震等级四级,宽厚比等级S5级,计算结果查询梁翼缘宽厚比如下图,翼缘宽厚比,抗规二级,限值7.43,钢规S5级,限值20,两者从严取7.43。腹板高厚比:抗规二级,限值53.625,钢规S5级,限值250,两者均输出。
图 1-36 工字梁宽厚比等级输出
如H形截面柱,无抗震等级,宽厚比等级为S1级,按照钢标3.5.1控制的宽厚比及高厚比的限值如下图所示。程序对于H截面腹板高厚比计算的时候按照新钢标考虑α0影响,程序也输出了相应的值。限值计算如下:(33+13*0.621.3)*sqrt(235/345)=33.04,软件输出结果正确。宽厚比限值为9*sqrt(235/345)=7.43,与软件输出结果一致。
图 1-37 H型截面高厚比输出
4 按照新钢标增加了多种材料选择
程序按照新钢标要求,不仅仅增加了新钢标要求的材料,对于新钢标中未提到的材料也做了增加,对于材料强度的取值等均按照新钢标及低合金高强钢规范采用。如下图所示。
图 1-38 多种材料选择
5 按照新钢标进行构件强度及稳定截面验算
选择新钢标之后,程序对于构件截面验算自动执行新钢标的构件验算条文。如下例题,设置宽厚比等级为S5级,软件进行计算输出如下柱构件验算结果,如下图所示。
图 1-39 构件信息查看
选择的该柱截面的参数信息如下图所示:
图 1-40 构件截面特性
5.1 按照新钢标手工校核强度:
按照规范的公式如下:
强度应力控制组合为M= -300.42kN.m, N= 936.23kN;净毛截面比例系数为0.85,An=A*0.85=0.85*0.01044m2=0.00874m2,Wnx=0.85*0.0022994m3=0.00195m3,
但是该构件计算的翼缘宽厚比超过了S3级的限值要求
则γx= 1.0,
强度计算如下:
σ=936.23/0.00874+300.42/1*0.00195=107120+153846=260.8N/mm2
与软件计算结果一致。
5.2 按照新钢标手工校核面内稳定:
校核稳定计算的公式如下:
该柱构件平面内稳定验算的长细比为:32.9,由于钢号为Q345,则需要查表计算的λx= 32.9/SQRT(325/345)=39.86
平面内然后b类截面,查询钢结构设计标准附录D,得稳定系数为:φx=0.899
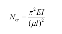
Ncr=3.142*2.06*108*8.0479*10(-4)/9.142=19570kN
βmx=1-0.36*936.23/19570=1-0.0172=0.9828
Wx=0.0022994m3,
γx= 1
Nex’=3.142*2.06*108*0.01044/(1.1*32.92)=17809.1kN
面内稳定计算如下:
σ=936.23/(0.899*0.01044)+0.9828*300.42/1.0*0.0022994[1-0.8*936.23/17809.1]
=99.752N/mm2+136.4N/mm2=236.152N/mm2
手工校核结果与软件计算结果一致。
6 宽厚比等级为S5的板件需要验算有效截面
程序按照新钢标要求,对于板件宽厚比等级为S5的截面验算有效截面,在程序中输出如下图的计算结果。
图 1-41 构件验算输入
7 轴心受力构件的验算按照新钢标进行毛截面屈服及净截面断裂验算
对于轴心受拉构件,按如下图所示的新钢标公式计算,取较大值;对轴心受压构件,只需要按7.1.1-1公式计算
图 1-42 轴心受力截面计算公式
8 工具箱中相应的计算也按照新钢标做了修改
工具箱中也可按新钢标要求输入板件宽厚比等级进行对应构造限值的控制。如图 1-43图 1-44所示。同时新钢标对组合梁部分做了修改,程序在工具箱中对组合梁计算也做了相关的修改,如图 1-45所示。程序按照新钢标计算要求增加了销轴连接计算,如图 1-46所示。
图 1-43 构件验算工具
图 1-44 局部稳定输出
图 1-45 组合梁设计工具
图 1-46 销轴连接工具箱
9 修改了梁柱连接“短梁拼接节点”强节点验算条件
老版本软件,对于梁柱连接“短梁拼接节点”一般按照等强连接计算,并按抗规验算强节点,连接螺栓数目较多。新版本软件连接设计增加对塑性耗能区的判断,当连接在2倍梁高或1/10跨长(两者取较大值)外时,不再进行强节点弱构件的验算。对于大部分的梁拼接节点都不将再进行验算。

QQ好友
新浪微博
微信扫一扫